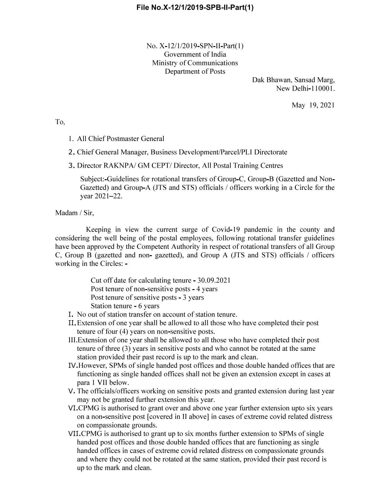
Guidelines for rotational transfers of Group-C, Group-B (Gazetted and Non-Gazetted) and Group A (JTS and STS) officials /officers working in a circle for the year 2021-2022
The NUPE Group-C was formed by Late Sri K.Ramamurti in 1968 then D.Kishan Rao was the General Secretary and now Vasireddy Sivaji is the present General Secretary